Index of /epsiclas/material/c-bach-c2/ejercicios/

NameLast ModifiedSize
UpParent Directory
[IMG]bach-c2-cinco-int-importantes.jpg2023-04-26 08:15 155k
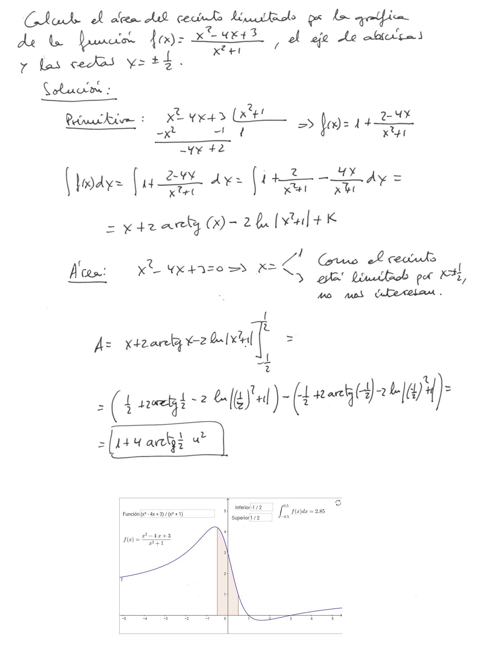
[IMG]bach-c2-ejercicio-area-x2mas1.jpg2023-04-26 08:15 157k
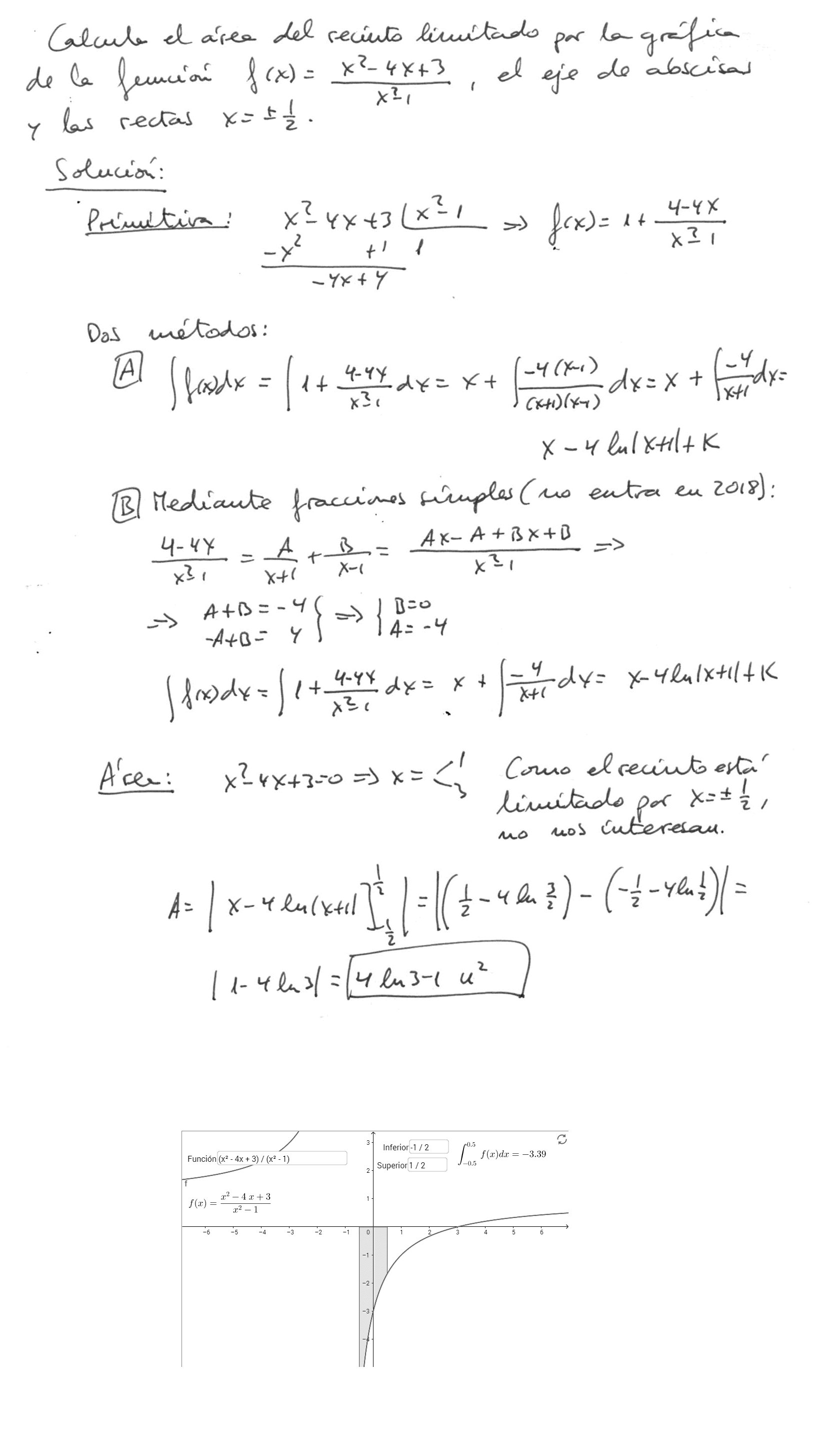
[IMG]bach-c2-ejercicio-area-x2menos1.jpg2023-04-26 08:15 218k
[IMG]bach-c2-ejercicios-algebra-calculo-inversa-1.jpg2023-04-26 08:15 159k
[IMG]bach-c2-ejercicios-algebra-calculo-inversa-2.jpg2023-04-26 08:15 296k
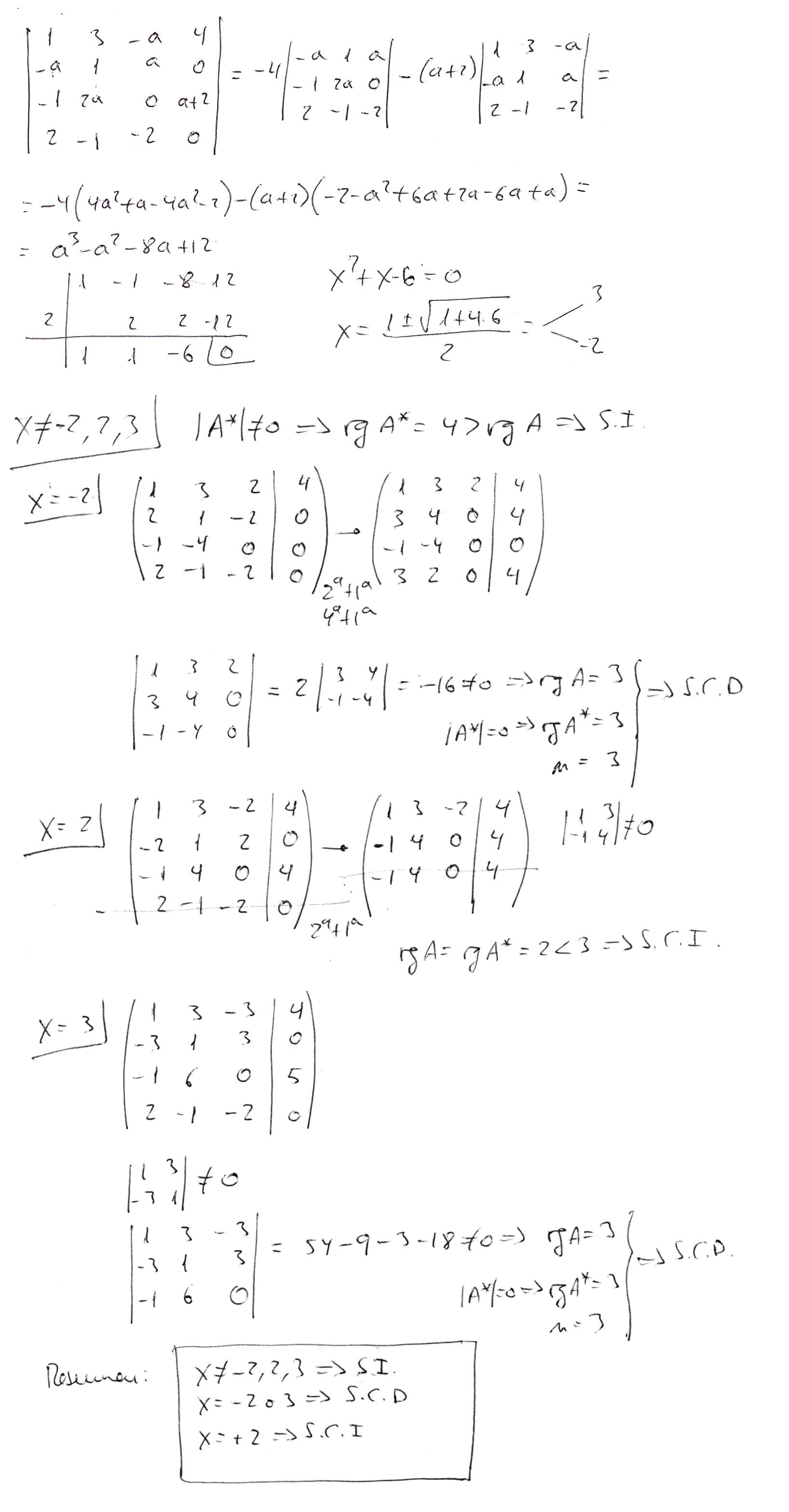
[IMG]bach-c2-ejercicios-algebra-sistema-parametros.jpg2023-04-26 08:15 236k
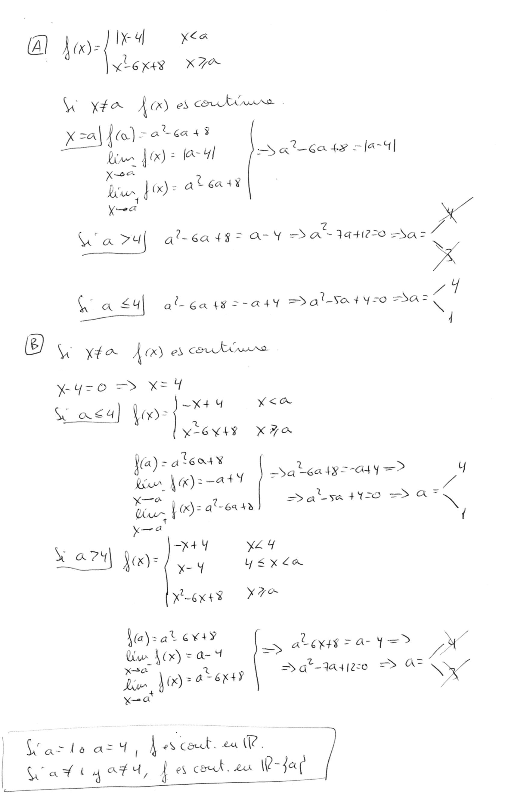
[IMG]bach-c2-ejercicios-analisis-continuidad-trozos-dominio.jpg2023-04-26 08:15 180k
[IMG]bach-c2-ejercicios-calculo-caja.gif2023-04-26 08:15 3k
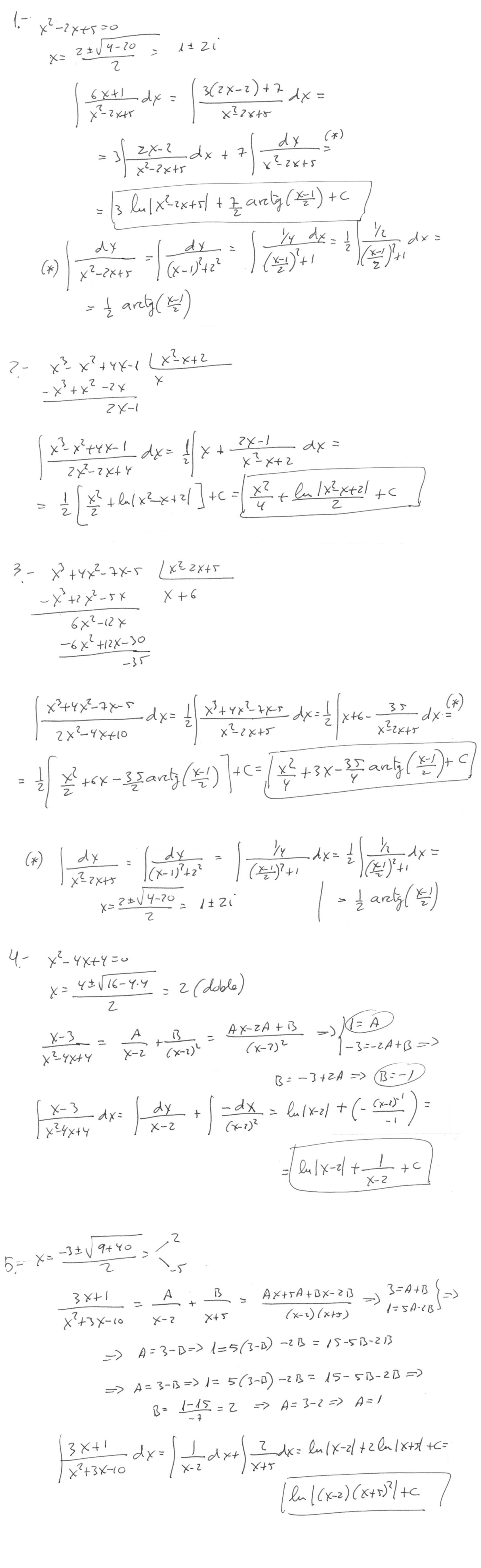
[IMG]bach-c2-ejercicios-calculo-integral-cincoracionales-sol.jpg2023-04-26 08:15 415k
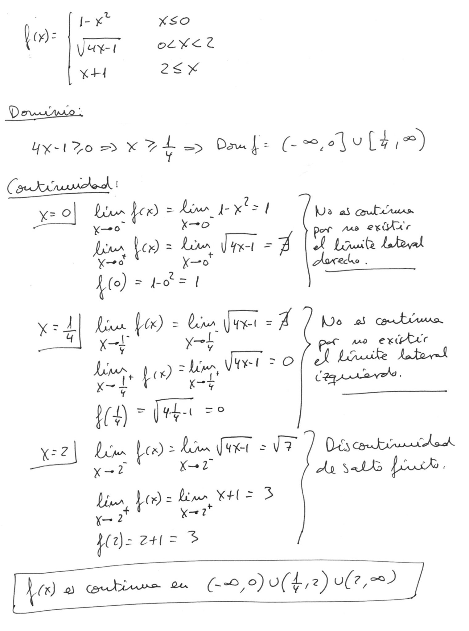
[IMG]bach-c2-ejercicios-continuidad-trozos-valorabs.jpg2023-04-26 08:15 181k
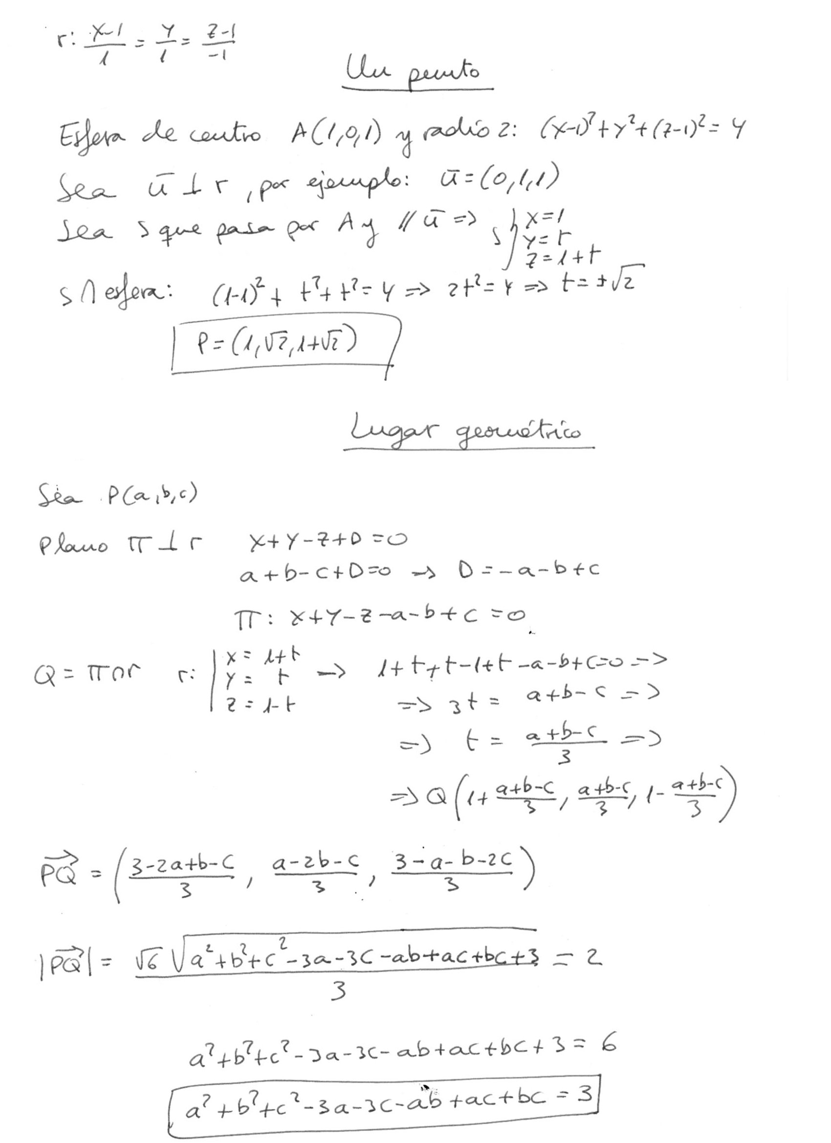
[IMG]bach-c2-ejercicios-geometria-tema05-101.jpg2023-04-26 08:15 423k
[IMG]bach-c2-ejercicios-geometria-tema06-082.jpg2023-04-26 08:15 186k
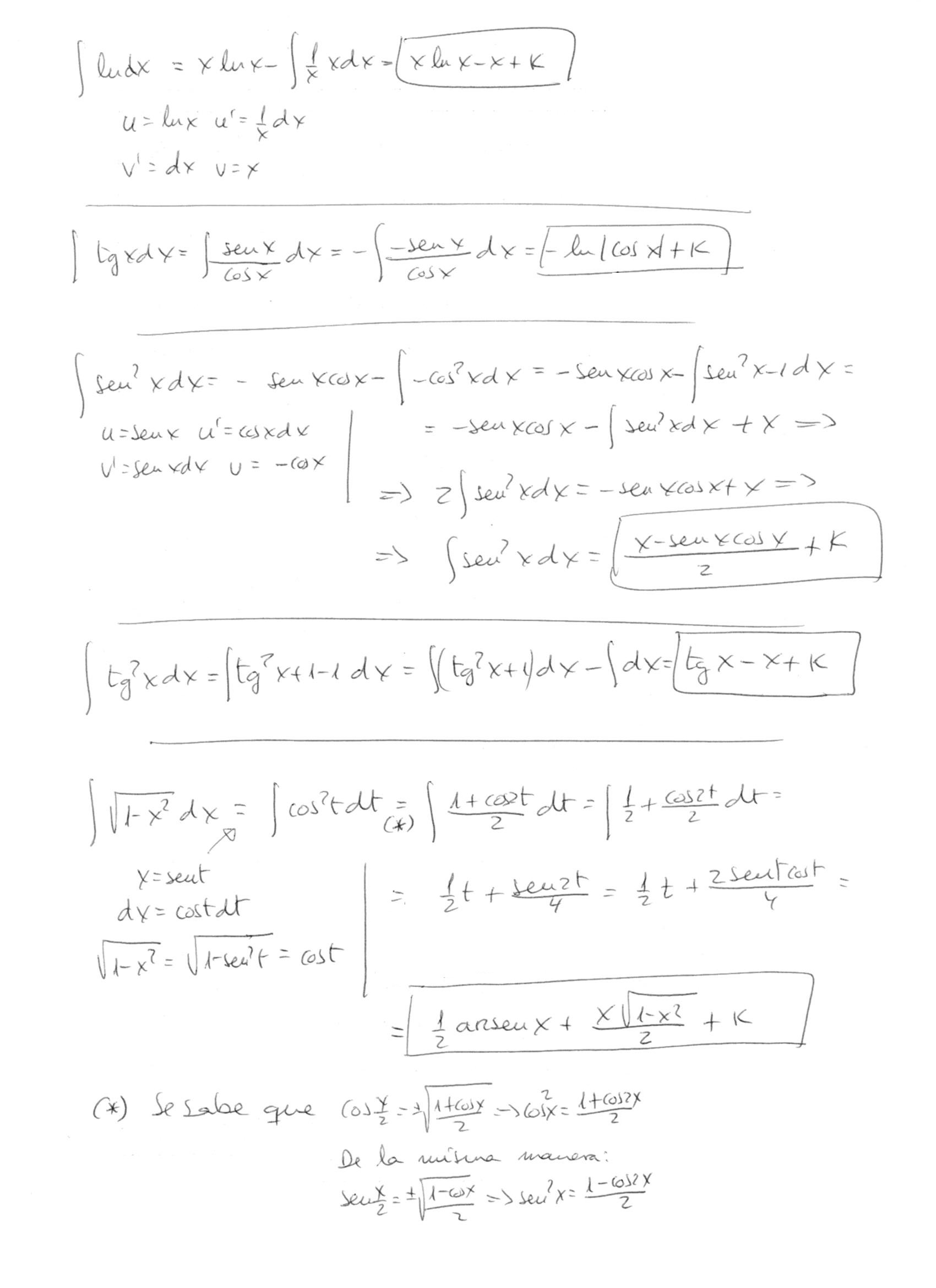
[IMG]bach-c2-ejercicios-pau-problemas-integrales.jpg2023-04-26 08:15 232k
[IMG]bach-c2-ejercicios-probabilidad-totalbayes-1.jpg2023-04-26 08:15 54k
[IMG]bach-c2-ejercicios-probabilidad-totalbayes-2.jpg2023-04-26 08:15 193k
[IMG]ejemplo-aproximacion-n.jpg2023-04-26 08:15 314k
Proudly Served by LiteSpeed Web Server at www.epsilones.com Port 443