 |
Epsiclas |
|
Matemáticas II - Probabilidad |
|
|
|
Índice de temas de probabilidad
12. Probabilidad
13. Distribuciones binomial y normal.
|
|
Tema 13 Probabilidad
- Cálculos:
- Cálculo de probabilidades utilizando combinatoria.
- Cálculo del número total de sucesos.
- Cálculo experimental de probabilidades.
- Probabilidades con y sin reemplazamiento.
|
*
|
14 Distribuciones binomial y normal
- Variables aleatorias: función que a cada suceso elemental de un experimento aleatorio se le hace corresponder un número.
- Tipos:
- Discretas: número finito de valores.
- Continuas: número infinito de valores.
- Parámetros
- Media: \(\mu=\sum_{i=1}^{n}p_i·x_i\)
- Varianza: \(\sigma^2=\sum_{i=1}^{n}p_i·(x_i-\mu)^2\)
- Desviación típica: \(\sigma=\sqrt{\sum_{i=1}^{n}p_i·(x_i-\mu)^2}\)
- Distribución de probabilidad: formas de asignar la probabilidad a los valores de una variable aleatoria.
- Distribuciones discretas:
- Formas de determinar una distribución discreta.
- Función de probabilidad:
- \(f(x_i)=P(X=x_i)\)
- Cumple:
- \(f(x_i) \ge 0\)
- \(\sum_{i=1}^{n}f(x_i)=1\)
- Función de distribución
- \(F(x_i)=P(X \le x_i)=\sum_{j=1}^{i}f(x_j)\)
- Es discontinua de salto finito.
- Distribución binomial:
- Se escribe \(X \equiv B(n,p)\)
- Cumple:
- La variable cuenta el número de veces que ocurre un suceso A cuya probabilidad es p al realizar el experimento n veces.
- Cada realización del experimento es independiente.
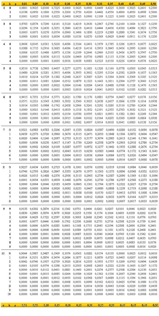
- Función de probabilidad: \(f(i)=P(X=i)=\binom{n}{i}p^i(1-p)^{n-i}\)
- Uso de tablas.
- Gráfica.
- Ejemplo.
- Distribuciones continuas:
- Formas de determinar una distribución continua.
- Función de densidad:
- Cumple:
- \(f(x) \ge 0 \forall x\)
- \(\int_{-\infty}^{\infty}f(x)dx=1\)
- Función de distribución:
- \(F(x)=P(X \le x)= \int_{-\infty}^{x}f(x)dx\)
- Cumple:
- Im F = [0, 1]
- Es creciente.
- Distribución normal
- Se escribe \(X \equiv N(\mu,\sigma)\)
- Cumple:
- \(\mu\): media de la variable. \(\sigma\): desviación típica.
- Su función de densidad es simétrica respecto de la media.
- Gráfica.
- Gráfico porcentajes \(\mu - \sigma\)
- La distribución \(Z \equiv N(0,1)\)
- Tipificación: \(x\rightarrow \dfrac{x-\mu}{\sigma}\)
- Aproximación de la binomial:
- Para n suficientemente grande la binomial se puede aproximar por la normal haciendo:
- \(\mu=np\)
- \(\sigma=\sqrt{np(1-p)}\)
- Se considera buena la aproximación cuando se cumple: \(np>5\) y \(n(1-p)>5\)
- Comparación gáficas binomial-normal.
- Ejemplos.
|
*
**
Historia de la curva normal |
|
|
|