Epsilones  
3 monos
Novedades - ► Mapa - Bestiario - GeoGebra - Bienvenida - Contacto
Problemas
Previo ◄ Índice► Siguiente
 

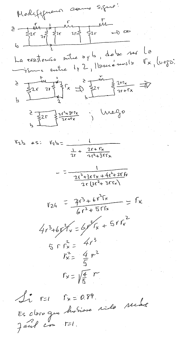
Un circuito infinito

 

Sea el circuito de la derecha.

Halla el valor de la resistencia entre a y b.

 

 

Solución

 

Una pista puede ser Una ecuación con infinitas equis.

Enviado por Marcial Fonseca.

► Bestiario: Infinito

 
 
 





SOLUCIÓN

A continuación, la solución manuscrita por Marcial Fonseca:

 
Comentarios
Inicio página
Epsilones.
Sitio + o - matemático de
Alberto Rodríguez Santos.
Correo: alberto@epsilones.com.
En la red desde el 4-7-2002 (ya hace).
Última actualización: ver Novedades.
 

 

Con esto se termina la página: